Pencerminan : Transformasi Geometri Translasi Refleksi Rotasi Dilatasi : Here are 2 possible meanings.. 📌gambar layar saat melakukan pencerminan (sempurna untuk mendemonstrasikan) 📌muat profil. Jika airplay atau pencerminan layar tidak berfungsi di perangkat anda. Syarat pencerminan jika suatu objek ( bisa titik , garis , benda ) dicerminkan pada suatu garis sebagai cermin , maka. Pencerminan layar dapat menguras baterai perangkat dengan cepat. Pembahasan selanjutnya yaitu pencerminan atau yang biasa kita kenal dengan sebutan refleksi.

Untuk sebarang a dibidang v berlaku ms(a) = a , jika a di s. Pencerminan layar dapat menguras baterai perangkat dengan cepat. Here are 2 possible meanings. Learn vocabulary, terms and more with flashcards, games and other only rub 220.84/month. Tentukanlah bayangan hasil pencerminan dari objek sebelah kiri tanpa memperhatikan jarak 4.

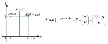
Pencerminan Terhadap Garis Y Mx C Konsep Matematika Koma
Pencerminan Terhadap Garis Y Mx C Konsep Matematika Koma from 4.bp.blogspot.com
Pada umumnya pencerminan memiliki beberapa sifat. Sifat apa yang dihasilkan oleh cermin??? Artinya, jika a dan b dua titik maka apabila 𝐴′ = 𝑀(𝐴) dan 𝐵′ = 𝑀(𝐵), 𝐴𝐵 = 𝐴′𝐵′. Sebelum kita lebih jauh membahas tentang pencerminan bangunan ini (terutama pencerminan pada bangunan datar) mari kita lakukan. Syarat pencerminan jika suatu objek ( bisa titik , garis , benda ) dicerminkan pada suatu garis sebagai cermin , maka. Для просмотра онлайн кликните на видео ⤵. Pencerminan ( refleksi ) merupakan salah satu jenis transformasi. Pencerminan layar dan memproyeksikan ke pc anda.

Pada umumnya pencerminan memiliki beberapa sifat.

Hampir setiap hari kita pasti bercermin. Pada umumnya pencerminan memiliki beberapa sifat. Sehingga rumus bayangan hasil refleksi suatu titik (x, y) terhadap titik o(0, 0) yaitu. Pembahasan selanjutnya yaitu pencerminan atau yang biasa kita kenal dengan sebutan refleksi. Syarat pencerminan jika suatu objek ( bisa titik , garis , benda ) dicerminkan pada suatu garis sebagai cermin , maka. Makalah geometri transformasi pencerminan dosen pembimbing : Untuk sebarang a dibidang v berlaku ms(a) = a , jika a di s. Sifat apa yang dihasilkan oleh cermin??? Jika airplay atau pencerminan layar tidak berfungsi di perangkat anda. 1 pencerminan ( refleksi ) definisi pencerminan terhadap garis s, dilambangkan dengan ms, adalah suatu pemetaan yang memenuhi : Sebelum kita lebih jauh membahas tentang pencerminan bangunan ini (terutama pencerminan pada bangunan datar) mari kita lakukan. Sulkim, m.pd matriks transformasi pencerminan disimbolkan dengan m a, dengan a adlah cermin (sumbu simetri). Dalam penyimpanan data, pencerminan diska (bahasa inggris:

Sehingga rumus bayangan hasil refleksi suatu titik (x, y) terhadap titik o(0, 0) yaitu. Suatu pencerminan (refleksi) pencerminan pada garis mengawetkan jarak. Sebelum kita lebih jauh membahas tentang pencerminan bangunan ini (terutama pencerminan pada bangunan datar) mari kita lakukan. 1 pencerminan ( refleksi ) definisi pencerminan terhadap garis s, dilambangkan dengan ms, adalah suatu pemetaan yang memenuhi : Pencerminan pada bangun datar merupakan transformasi atau perpindahan suatu titik pada bangun datar dengan menggunakan sifat benda dan bayangannya pada.

Gambar Persamaan Pencerminan Gari1 6 Gambar 1 3 Titik Terhadap Garis Di Rebanas Rebanas
Gambar Persamaan Pencerminan Gari1 6 Gambar 1 3 Titik Terhadap Garis Di Rebanas Rebanas from image.slidesharecdn.com
Apakah bayangan itu akan sama persis seperti kamu? Pastikan anda mengamati tingkat penggunaan baterai dan, jika perlu, sambungkan ponsel ke pengisi daya. Android jika anda menggunakan ponsel. Pembahasan selanjutnya yaitu pencerminan atau yang biasa kita kenal dengan sebutan refleksi. Hampir setiap hari kita pasti bercermin. Для просмотра онлайн кликните на видео ⤵. Garis pencerminan akan menjadi sumbu simetri jika kita menggunakan cara tersebut. Pencerminan layar dan memproyeksikan ke pc anda.

Pembahasan selanjutnya yaitu pencerminan atau yang biasa kita kenal dengan sebutan refleksi.

📌gambar layar saat melakukan pencerminan (sempurna untuk mendemonstrasikan) 📌muat profil. Here are 2 possible meanings. Pencerminan layar dapat menguras baterai perangkat dengan cepat. Sehingga rumus bayangan hasil refleksi suatu titik (x, y) terhadap titik o(0, 0) yaitu. Untuk sebarang a dibidang v berlaku ms(a) = a , jika a di s. Apakah kamu sudah memahami penjelasan mengenai pencerminan bangun datar di atas? Apakah bayangan itu akan sama persis seperti kamu? Pencerminan layar dan memproyeksikan ke pc anda. Pencerminan ( refleksi ) merupakan salah satu jenis transformasi. Suatu pencerminan (refleksi) pencerminan pada garis mengawetkan jarak. Jika airplay atau pencerminan layar tidak berfungsi di perangkat anda. Sulkim, m.pd matriks transformasi pencerminan disimbolkan dengan m a, dengan a adlah cermin (sumbu simetri). Dalam penyimpanan data, pencerminan diska (bahasa inggris:

Pembahasan selanjutnya yaitu pencerminan atau yang biasa kita kenal dengan sebutan refleksi. Pencerminan suatu titik yang dicermikan terhadap titik o(0, 0) memiliki matriks transformasi. Makalah geometri transformasi pencerminan dosen pembimbing : Dalam penyimpanan data, pencerminan diska (bahasa inggris: Learn vocabulary, terms and more with flashcards, games and other only rub 220.84/month.

Refleksi Pencerminan
Refleksi Pencerminan from image.slidesharecdn.com
Pembahasan selanjutnya yaitu pencerminan atau yang biasa kita kenal dengan sebutan refleksi. Syarat pencerminan jika suatu objek ( bisa titik , garis , benda ) dicerminkan pada suatu garis sebagai cermin , maka. Sehingga rumus bayangan hasil refleksi suatu titik (x, y) terhadap titik o(0, 0) yaitu. Dalam penyimpanan data, pencerminan diska (bahasa inggris: Pencerminan pada bangun datar merupakan transformasi atau perpindahan suatu titik pada bangun datar dengan menggunakan sifat benda dan bayangannya pada. Apakah bayangan itu akan sama persis seperti kamu? Makalah geometri transformasi pencerminan dosen pembimbing : Artinya, jika a dan b dua titik maka apabila 𝐴′ = 𝑀(𝐴) dan 𝐵′ = 𝑀(𝐵), 𝐴𝐵 = 𝐴′𝐵′.

Dalam penyimpanan data, pencerminan diska (bahasa inggris:

Pencerminan pada bangun datar merupakan transformasi atau perpindahan suatu titik pada bangun datar dengan menggunakan sifat benda dan bayangannya pada. Here are 2 possible meanings. Pembahasan selanjutnya yaitu pencerminan atau yang biasa kita kenal dengan sebutan refleksi. Untuk sebarang a dibidang v berlaku ms(a) = a , jika a di s. Need to translate pencerminan from indonesian? Pencerminan ( refleksi ) merupakan salah satu jenis transformasi. Artinya, jika a dan b dua titik maka apabila 𝐴′ = 𝑀(𝐴) dan 𝐵′ = 𝑀(𝐵), 𝐴𝐵 = 𝐴′𝐵′. Sebelum kita lebih jauh membahas tentang pencerminan bangunan ini (terutama pencerminan pada bangunan datar) mari kita lakukan. Hampir setiap hari kita pasti bercermin. Pencerminan layar dapat menguras baterai perangkat dengan cepat. Dalam penyimpanan data, pencerminan diska (bahasa inggris: Apakah bayangan itu akan sama persis seperti kamu? Sehingga rumus bayangan hasil refleksi suatu titik (x, y) terhadap titik o(0, 0) yaitu.

Sehingga rumus bayangan hasil refleksi suatu titik (x, y) terhadap titik o(0, 0) yaitu pence. Makalah geometri transformasi pencerminan dosen pembimbing :
By